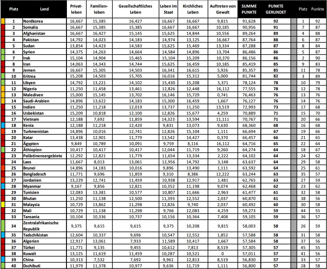
Jedes Jahr erstellt die Organisation „Open Doors“ einen sog. Weltverfolgungsindex. Er zeigt, wo die Christen am härtesten verfolgt werden.
Seit Jahren hat an dem Gesamtbild sich wenig geändert:
- den ersten Platz hat weiterhin Nordkorea und die Regime von Kim Jon-un.
- die Plätze 2 bis 9 belegen islamische Staaten. 19 weiteren islamischen Staaten sind unter den 40 Länder dieser Liste. Somit beweist diese Religion wie „friedlich“ sie ist.

